순현재가치 NPV와 내부수익률 IRR

오늘은 현재 가치를 계산하여 알 수 있는 순현재가치 NPV(Net Present Value)와 내부수익률 IRR(Internal Rate of Return)를 알아보도록 하겠습니다.
1. 순현재가치 NPV(Net Present Value)
순현가법은 NPV의 다른이름중 하나입니다. 순현가법 NPV는 순현재가치를 구하는 법이고 순현재 가치는 사업의 가치와 적합성을 0보다 크면 적합하다고 보고, 0보다 작으면 적합성이 없다고 판별할 수 있어 직관적으로 알 수 있습니다. NPV는 화폐의 시간의 흐름에 따른 가치를 반영합니다. 미래의 발생할 것으로 예상되는 현금흐름과 자본의 기회비용에 의해서 결정되기 때문에 신뢰할 수 있고 객관적인 정보를 제공합니다.
따라서 NPV(Net Present Value)로 사업의 수익성을 분석하여 투자계획에 활용됩니다.
NPV(Net Present Value)공식은 다음과 같습니다.

Ct = t년도의 순현금액을 의미합니다.
Co = 초기 투자금액을 의미합니다.
r = 할인율(금리)을 의미합니다.
n = 사업기간을 의미합니다.
t = 년도입니다.
예시를 하나 드리겠습니다.
초기 투자금액 100만원
1년 수익 50만원
2년 수익 85만원
3년 수익 100만원
4년 수익 200만원
할인율(금리) : 5 %
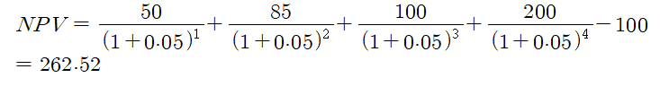
년도별 NPV(Net Present Value)를 계산했을때
1년 -49.89만원
2년 +23.54만원
3년 +105.81만원
4년 +262.52만원

NPV(Net Present Value)가 0보다 큰 262.52만원이 나오기 때문에 사업이 수익인 것을 알 수 있습니다.
당연하지만 0보다 작으면 손해이기때문에 1년차밖에 없었다면 손해라는 것을 알 수 있습니다.
NPV(Net Present Value)의 장점
-쉽게 계산이 가능합니다.
-현금흐름을 반영합니다.
-화폐가치를 반영합니다.
-재무관리의 목표인 기업가치의 극대화에 만족합니다.
-가치의 가산원칙이 성립합니다.
NPV(Net Present Value)의 단점
-투자기간이 길어질 경우 계산이 복잡해질 수 있습니다.
-적절한 할인율을 산정이 어렵습니다. 따라서 적절한 할인률을 선정하지 않으면 크게 NPV가 크게 달라집니다.
-투자 규모가 다른 경우 수익율을 기준으로 보지 않기 때문에 투자우선순위를 결정할때 적절하지 않습니다.
추가로는 NPV는 엑셀 함수에 등록이 되어 있어 엑셀로도 쉽게 계산할수있습니다.
위에 예시를 사용한다면 =NPV(0.05,-100,50,85,100,200)이 됩니다.
2. 내부수익률 IRR(Internal Rate of Return)
내부수익률 IRR(Internal Rate of Return)은 NPV와 마찬가지로 사업의 수익성을 판단하기 위해 고안된 지표입니다. 투자로 생긴 수익률을 측정하는 지표입니다. NPV순현재가치 보다 일반적으로 투자부문에서 IRR내부수익률이 일반적으로 사용되는 특징이 있습니다.
IRR 내부수익률 공식은 다음과 같습니다.

Ct = t년도의 순현금액을 의미합니다.
Co = 초기 투자금액을 의미합니다.
T = 총 투자기간을 의미합니다.
t = 년도입니다.
IRR = NPV를 0으로 만드는 할인율입니다.
예시를 하나 드리겠습니다.
초기 투자금액 100만원
1년 수익 40만원
2년 수익 50만원
3년 수익 60만원
4년 수익 70만원

이때 엑셀함수를 이용하여 IRR을 구하면 약 18%가 나온다. 따라서 내부수익률이 18%임을 알 수 있다.
| A | B | |
| 1 | 0 | -100 |
| 2 | 1 | 40 |
| 3 | 2 | 50 |
| 4 | 3 | 60 |
| 5 | 4 | 70 |
=IRR(A1:B5)
이런 식으로 IRR을 구하여 여러 사업을 늘어놨을때 내부수익률이 높은쪽을 고르면 수익률이 높은 사업을 선별해낼 수 있습니다. 가치없는 사업을 볼때는 금리보다 IRR(내부수익률)이 낮다면 투자가치가 없다고 보면 이해가 쉽습니다.
IRR(내부수익률) 장점
-수익률을 직관적으로 보여주기 때문에 자산배분을 효율적으로 할 수 있습니다.
-사업의 수익성을 판단하는 기준이 되어줍니다.
-엑셀의 내장된 함수로 쉽게 계산가능합니다.
IRR(내부수익률) 단점
-복수의 내부수익률이 존재 할 수 있습니다.
-투자의 규모를 고려하지 않아 투자금액이 다른 사업의 경우 적절한 비교가 어렵습니다.
-계산이 NPV에 비해 어렵습니다. 엑셀과 같은 도구가 없다면 계산을 위해 n차 방정식을 풀어야 합니다.
-가치의 가산원칙이 성립하지 않습니다.
3. MIRR(Modified Internal Rate of Return)과 추가정보
MIRR은 수정된 내부수익률로 IRR을 보완한 지표입니다.
MIRR은 초기 지출은 금융원가로 재투자, 투자로 발생하는 현금흐름(cash flow)은 기업의 자본 원가로 재투자된다고 가정합니다. 장점으로는 복수의 내부수익률이 존재하지않는다는 장점이 있습니다. MIRR또한 엑셀로 함수로 등록이 되어 있어 활용할 수 있습니다.
-추가정보
한가지 지표만을 사용하기보단 지금까지 배운 NPV,IRR,MIRR등을 적절히 같이 사용하는 것도 좋습니다.